Laboratorio de Química Bioorgánica
Nuestro grupo de investigación navega por la frontera entre la química y la biología en busca de herramientas químicas para responder preguntas biológicas. Nuestra área de acción más importante está relacionada a las enfermedades tropicales desatendidas (enfermedad de Chagas, leishmaniasis tripanosomiasis humana), la tuberculosis y el cáncer. Principalmente estamos abocados al descubrimiento de candidatos para el desarrollo de fármacos y al estudio de sus mecanismos de acción.
Por otro lado, nos interesa estudiar reacciones con potencial para la preparación de bibliotecas de compuestos estructuralmente diversos y a generar nuevas metodologías para reintroducir residuos industriales de plantas de producción de biodiesel.
Temas de investigación
Desarrollo de fármacos para enfermedades tropicales desatendidas.
Desarrollo de novedosos agentes antituberculosos.
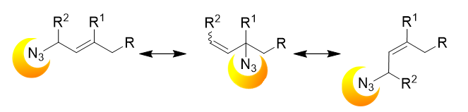
Estudios de azidas alílicas.
Valorización de residuos de plantas de producción de biodiesel.
Actividades realizadas
Identificación de nuevas entidades químicas mediante síntesis en paralelo para desarrollar nuevos medicamentos para el tratamiento de la enfermedad de Chagas, las leishmaniasis, la tripanosomiasis africana humana, la malaria, la tuberculosis y el cáncer. Preparación de derivados fluorescentes para estudios de mecanismo de acción mediante microscopía de fluorescencia. Estudios de mecanismo de acción mediante metabolómica por RMN 1H y 19F.
Técnicas empleadas
-
Diseño de novo, estructuras privilegiadas, reposicionamiento de fármacos.
-
Síntesis orgánica.
-
Resonancia Magnética Nuclear, Espectrometría de masas, espectroscopía electrónica y de fluorescencia, y determinación de propiedades físicas.
-
Cribado fenotípico y basado en el blanco.
-
Estudios de relación estructura-actividad.
-
Herramientas quimioinformáticas y de química computacional para evaluar las propiedades fisicoquímicas y estudiar mecanismos de reacción.
-
Metabolómica y Quimioproteómica.
Director del grupo
Sede Facultad
labadie@iquir-conicet.gov.ar
Tel.: +54 341 4370477
Laboratorio Int.: 108
Becarias/os
Gabriel Di Gresia , Becario Doctoral
María Sol Ballari , Becaria Posdoctoral
Miguel Villarreal Parra, Becario Doctoral
Renzo Carlucci, Becario Doctoral
Tesinistas
Ignacio Baud, Lic. en Química
Publicaciones seleccionadas
R. Carlucci, G. Di Gresia, M. G. Mediavilla, J. A. Cricco, B. L. Tekwani, S. I. Khan, G. R. Labadie* “Expanding the scope of novel 1,2,3-triazoles as new antiparasitic drug candidates. “RSC Med. Chem. Aceptado doi: doi.org/10.1039/D2MD00324D
R. Carlucci, S.N. Jäger, G. R. Labadie, “Steryl glucosides recovered from biodiesel tank deposits are an excellent source of phytosterols” Ind. Crops. Prod. 187, 2022, 115307 doi: doi.org/10.1016/j.indcrop.2022.115307
J. Fernández de Luco, A. I. Recio-Balsells, D. G. Ghiano, A. Bortolotti, J. M. Belardinelli, N. Liu, P. Hoffmann, C. Lherbet, P. J. Tonge, B. Tekwani, H. R. Morbidoni,* G. R. Labadie* “Exploring the chemical space of 1,2,3-triazolyl triclosan analogs as new antileishmanial chemotherapies.” RSC Med. Chem. 12, 2021, 120-128. doi: doi.org/10.1039/D0MD00291G
D. G. Ghiano, A. Recio-Balsells, A. Bortolotti, L. A. Defelipe, A. Turjanski, H. R. Morbidoni, G. R. Labadie.* “New one-pot synthesis of anti-tuberculosis compounds inspired on isoniazid.” Eur. J. Med. Chem. 208, 112699, (2020) doi: doi.org/10.1016/j.ejmech.2020.112699
L. Fargnoli, E. A. Panozzo-Zénere, L. Pagura, M. J. Barisón, J. A. Cricco, A-. M. Silber, G. R. Labadie* “Targeting L-proline uptake as new strategy for anti-Chagas drug development.” Front. Chem. 8, 696 (2020). doi: doi.org/10.3389/fchem.2020.00696
N. S. Medran, M. Sayé, C. A. Pereira, B. L. Tekwani, A. La-Venia,* G. R. Labadie*. “Expanding the scope of synthetic 1,2,4-trioxanes towards Trypanosoma cruzi and Leishmania donovani” Bioorg. Med. Chem. Lett. 30, 127491 (2020) doi: doi.org/10.1016/j.bmcl.2020.127491
M. M. Vallejos*, G. R. Labadie. “Insight on the factors controlling the equilibrium of allylic azides. “ RSC Adv., 10, 4404–4413 (2020). doi: doi.org/10.1039/C9RA10093H
J. Fernández de Luco, G. Prez, B. Hernández Cravero, D. de Mendoza, G. R. Labadie*. “Synthesis of a deuterated standard and quantification 2-araquidonoylglycerol in C. elegans.” J. Vis. Exp. 151, e59882 (2019). doi:10.3791/59882
E. O. J. Porta, I. Bofill Verdaguer, C. Pérez, C. Banchio, M. Ferreira de Azevedo, A. M. Katzin* and G. R.Labadie* “Repositioning Salirasib as New Antimalarial Agent.“ MedChemComm 10, 1599–1605 (2019). doi: doi.org/10.1039/C9MD00298G
S. N. Jäger, E. O. J. Porta, G. R.Labadie* “Convenient synthesis of the immunogenic glycolipid BbGL1“ Steroids 141, 41-45 (2019) doi: doi.org/10.1016/j.steroids.2018.11.012
E. A Panozzo-Zénere, E. O. J. Porta, Gustavo Arrizabalaga, L. Fargnoli, Shabana I. Khan, Babu Tekwani G. R.Labadie*. “A minimalistic approach to develop new anti-apicomplexa polyamines analogs.“ Eur. J. Med. Chem. 143, 866-880 (2018) doi.org/10.1016/j.ejmech.2017.11.069
J. J. Franceschelli, J. M. Belardinelli, P. Tong, B. Loftus, A. Recio-Balsells, G. R. Labadie,* S. Gordon,* H. R. Morbidoni.* “Mutations in katG and ahpC mediate Mycobacterium tuberculosis resistance to 2-Thiophen Carboxylic Acid Hydrazide, an inhibitor resembling the anti-tubercular drugs Isoniazid and Ethionamide. “ Tuberculosis 112, 69–78 (2018) doi:10.1016/j.tube.2018.08.001
E. O. J. Porta, M. Vallejos, A. B. J. Bracca, G. R.Labadie* “Experimental and theoretical studies of the [3,3] sigmatropic rearrangement of isoprenylazides.“ RSC Adv. 7, 47527-47538 (2017) doi: 10.1039/C7RA09759J
E. O. J. Porta, S. N. Jäger, I. Nocito, G. Lepesheva, E. Serra, B. L. Tekwani, G. R.Labadie* “Antitrypanosomal activity of prenyl-1,2,3-triazoles.“ MedChemComm 8, 1015–1021 (2017) doi: 10.1039/C7MD00008A.
D. G. Ghiano, A. de la Iglesia, N. Liu, P. J. Tonge, H. R. Morbidoni, G. R.Labadie* “Antitubercular activity of 1,2,3-triazolyl fatty acid derivatives.“ Eur. J. Med. Chem. 125, 842–852 (2017) doi: 10.1016/j.ejmech.2016.09.086.

